
Basic Yellow 87


Description


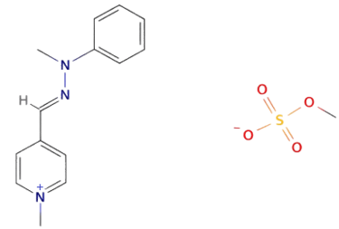
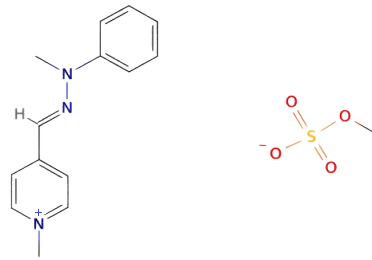
Basic Yellow 87 is a synthetic cationic azo dye, chemically identified by its pyridinium-based structure with a hydrazone linkage to a phenyl moiety. It is a yellow, water-soluble solid with a melting point around 150–164 °C and a log P of –1.69, indicating strong hydrophilicity. The dye is primarily used in hair-color formulations, especially semi-permanent and oxidative dyes, as well as in textile dyeing for acrylic fibers, inks, plastics, and coatings. Safety evaluations, including those by the Cosmetic Ingredient Review (CIR), indicate it is safe for hair dye use at concentrations up to 1%, although it can cause skin and eye irritation. Only a small fraction of the dye is absorbed through human skin, but its cationic nature raises environmental concerns, as it is not easily biodegradable and may be toxic to aquatic life. Consequently, it is also studied as a model pollutant in research on catalytic and chemical degradation methods to reduce environmental impact.
Chemical Structure of Basic Yellow 87
Appearance of Basic Yellow 87
Uses
1. Hair‑Colorant in Cosmetics
Packing
Export Worthy packing 5 Kg Drum, 25 Kg Drum, 50 Kg Drum.
Storage Conditions
Store in cool and dry place at room temperature, protect from direct sunlight.
Molecular Formula
CAS No.
IUPAC Name
Synonyms
Molecular Weight
Appearance
Solubility
Dye Content (Spectrophotometry)
C₁₅H₁₉N₃O₄S
68259‑00‑7
N‑methyl‑N‑[(E)-(1‑methylpyridin‑1‑ium-4-yl)methylideneamino]aniline; methyl sulfate
Calcozine Yellow FW
~337.4 g/mol
bright yellow to yellow‑brown crystalline solid / powder
98%
:
:
:
:
:
:
:
:
Basic Yellow 87 is widely used as a hair colorant. It is incorporated into both semi‑permanent (direct) dyes and oxidative hair dye systems.
In oxidative systems, it’s mixed with a developer (like hydrogen peroxide) just before application.
According to safety data, its maximum use concentration in hair dyes is around 1%.
The CIR (Cosmetic Ingredient Review) has evaluated its toxicology: while some absorption through skin occurs, it’s relatively slow, and rinse‑off products reduce exposure risk.
It may also be present in low amounts in some non‑color hair products (like shampoos or conditioners), but such use is restricted, and in some jurisdictions it's not permitted if it's not a declared “color additive.”
Because it's a regulated color additive, formulations using Basic Yellow 87 must follow labeling and patch test instructions to check for irritation or sensitization.
2. Textile Dyeing
One of its major industrial uses is in the textile industry, specifically for dyeing synthetic fibers. According to World Dye Variety, Basic Yellow 87 is “mainly used in acrylic and their blended fabric dyeing.”
Its cationic nature (i.e., positively charged) helps it bind well to anionic or negatively charged substrates, making it useful for certain fiber types.
It’s also used in paper coloration, as per application overviews from dye‑manufacturing sources.
Leather and fur finishing: In some specialized dyeing processes, Basic Yellow 87 is used to impart a bright, consistent yellow shade to leather and similar materials.
3. Inks, Paints & Plastics
It finds use as a colorant in inks, including printing inks, because of its strong, bright yellow hue and good stability.
In paints and coatings, it is used to give yellow coloration; its stability makes it suitable for such applications.
It’s used for plastic/polymers coloration: basic dyes like BY‑87 can be incorporated into polymer matrices to color plastics.
Soluble in water
4. Research & Environmental Applications
Model Pollutant in Wastewater Research: Because it is a well‑characterized, water-soluble dye, Basic Yellow 87 is often used in academic and industrial research as a model compound to test dye-degradation technologies.
For instance, researchers have studied its catalytic ozonation (i.e., using metal-oxide catalysts + ozone) to break it down, measuring removal of chemical oxygen demand (COD) and total organic carbon (TOC).
Other methods: adsorption on different materials, photocatalytic degradation (e.g., with TiO₂ or ZnO nanoparticles), etc.
Nanocomposite / Material Science Uses: In materials science, Basic Yellow 87 is used to create dye–clay nano-pigments (by cation exchange with organoclays), which are then incorporated into polymers (like PLA) to develop functional films for food packaging.
Analytical / Forensic Chemistry: It is also used in analytical chemistry—for example, in mass spectrometry (MS/MS) to identify or quantify dye content in cosmetic formulations.
5. Reference Standard for Quality Control
Basic Yellow 87 is used by some labs as a reference standard (analytical standard) for method development, validation, and quality control because of its stable, well-known properties.
This is useful in both chemical manufacturing (ensuring batch‑to‑batch consistency) and in regulatory compliance (e.g., for traceability).
Contact
Reach out for inquiries and partnerships.
Follow
Connect
© 2008-2025, All Rights reserved by MODASA Pharmaceuticals Pvt. Ltd.
